Géométrie analytique Calcul du déterminant

précédent

suivant

résumé résumé

Calcul du déterminant

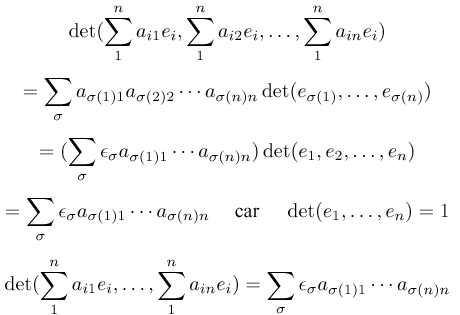
calcul det

es = + 1 si s(1), ..., s(n) est une permutation paire.
es = - 1 si s(1), ..., s(n) est une permutation impaire.