Géométrie analytique Forme multilinéaire alternée

précédent

suivant

résumé résumé

Forme multilinéaire alternée

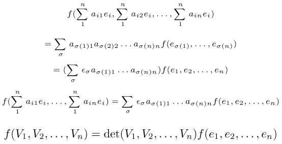
Si f est une forme n-linéaire alternée Rn flèche R on a par le même calcul que celui fait pour le déterminant :

linalter

Théorème

Toute forme n-linéaire alternée de Rn sur R est proportionnelle au déterminant.